91黑料

91黑料

人大91黑料 2022年全国优秀大学生夏令营选拔结果

来源:教务办公室 编辑:宣传信息事务办公室 发布时间:2022-08-03

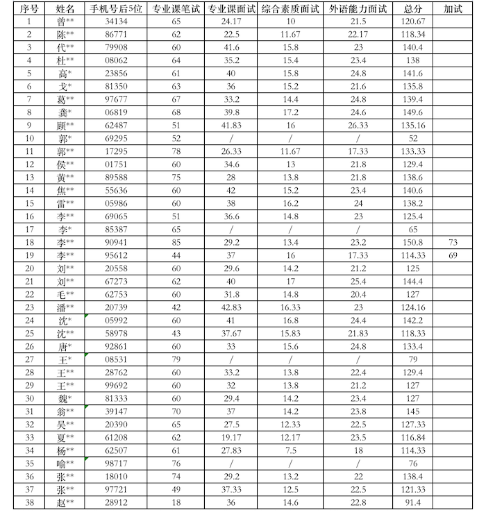
人大91黑料 2022年全国优秀大学生夏令营优秀营员名单

(名单按姓氏拼音排序,不区分专业方向)

1人大91黑料
2022年全国优秀大学生夏令营优秀营员名单.png

人大91黑料 2022年全国优秀大学生夏令营优秀营员备选名单

(名单按姓氏拼音排序,不区分专业方向)

2备选名单.png

人大91黑料 2022年全国优秀大学生夏令营其他营员名单

(名单按姓氏拼音排序,不区分专业方向)

3.png


官方微信 91黑料 86-10-82509171 [email protected]

版权所有©91黑料-91黑料全网热榜|黑料实时更新 京ICP备05066828号-1